产品目录

商用吸尘电机

园林工具电机

健身器材电机

直流泵类电机

家用吸尘器电机

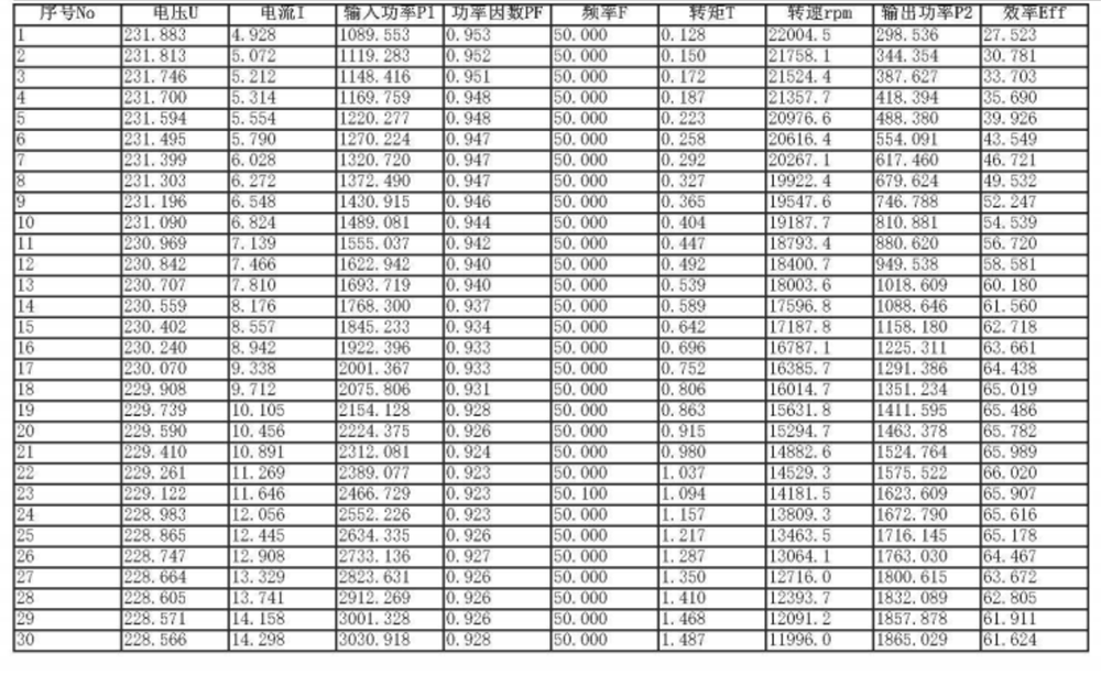
TM9493.00.00

电压: 120-127/220-240V

功率: 1800W

适用范围:割草机

最大转速: 22004.5rpm

最大扭矩: 1.487N.m

最大输出功率: 1865.03W

最大效率: 66.03%


产品详情


相关推荐

地区产品/CITY