产品目录

商用吸尘电机

园林工具电机

健身器材电机

直流泵类电机

家用吸尘器电机

BLDC6325.00.00

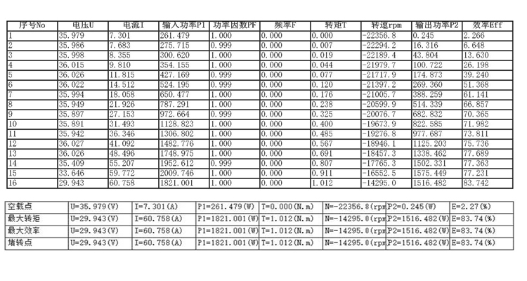
电压: 18/21.5/24/36/48/56V

功率: 900W

适用范围割草机

最大转速: 22356.8rpm

最大扭矩: 1.012N.m

最大输出功率: 151 6.482W

最大效率: 83.74%



产品详情

电机性能测试数据报表-(36V-63)-KYC



相关推荐

地区产品/CITY