产品目录

商用吸尘电机

园林工具电机

健身器材电机

直流泵类电机

BLDC7240.00.00

电压: 1 8/21.5/24/36/48/56V

功率: 1500W

适用范围扫雪机

最大转速: 18785.2rpm

最大扭矩: 1.5614N.m

最大输出功率: 2184.153W

最大效率: 86.60%


产品详情

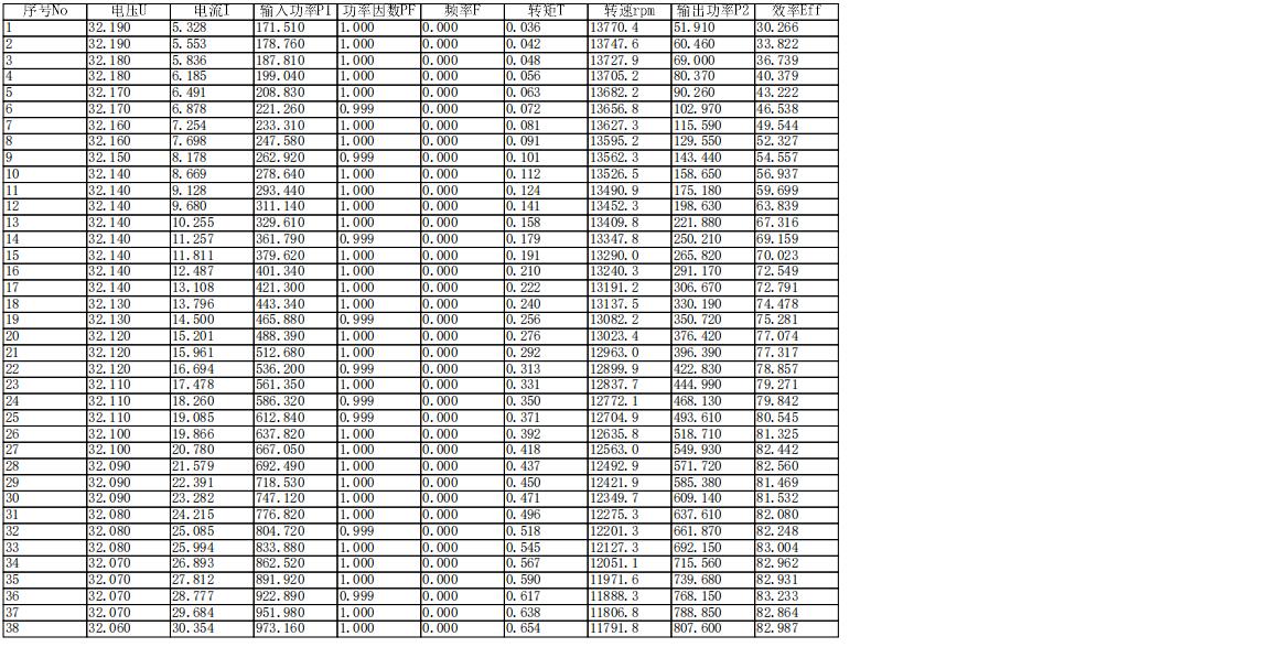
电机性能测试数据报表一(BL7240-56V)KYC



相关推荐

地区产品/CITY