产品目录

商用吸尘电机

园林工具电机

健身器材电机

直流泵类电机

家用吸尘器电机

>
<

DC7830.00.00

电压: 90/105/180V DC .

功率: 450W

适用范围水泵

最大转速: 4420.6rpm

最大扭矩: 1.340N.m

最大输出功率: 573.78W

最大效率: 88.10%


产品详情

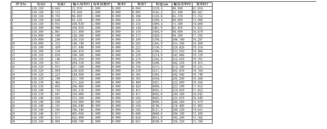
电机性能测试数据报表-(DC5330-110V)-KYC


02.jpg


相关推荐

地区产品/CITY